Default Image

Home > Blog > Finasteride: Dosage, Uses & side effects for hair Loss

Finasteride: Dosage, Uses & side effects for hair Loss

Dr. Aman Dua | August, 5 2022 | 0 Comments

What is Finasteride?

Finasteride is a 5-alpha reductase inhibitor, mostly used in the management of male pattern hair loss and stimulation of re-growth of hair in men. It is also indicated for the treatment of symptomatic benign prostatic hyperplasia (BPH) in men with an enlarged prostate.
Finasteride is commonly sold under brand names as “Proscar” (for benign prostatic hyperplasia) and “Propecia” (for male pattern hair loss).

Why Finasteride should be used?

    • Hair loss occurs when testosterone gets converted into DHT and binds to an androgen receptor which led to hair fall.

So, to reduce hair fall, a DHT blocker like finasteride is necessary which will stop this conversion and can prevent hair fall.

How DHT causes hair fall?

  • Hair growth mainly starts from the cells present at the base of hair shaft known as dermal papilla.
  • These cells divide and proliferate to form new hair follicles.
  • Dermal papilla cells carry all the essential nutrients required for the hair growth along with androgen (hormone).
  • When hair follicles exposed to DHT, hair growth retards and disrupted resulting in hair miniaturization and hair loss.

How Finasteride works and helps to reduce hair fall?

  • Finasteride is a specific inhibitor of type II 5 alpha reductase, an enzyme responsible for the conversion of testosterone to DHT.
  • It regulates the production of dihydrotestosterone.
  • Finasteride acts on the binding site of DHT and stops the transmission of DHT to further hair follicles.
  • DHT causes the shrinkage of hair follicles and shortens the growing phase.
  • By lowering the DHT levels, finasteride reverses the harmful effects on hair follicles and stimulates re-growth of hair.
    How Finasteride stimulates Hair re-growth
  • Finasteride can decrease DHT concentrations in the serum and scalp up to 60-70% approximately.

How finasteride is different from natural DHT blockers?

  • Finasteride is approved by FDA for the treatment of hair loss.
  • Studies have shown that finasteride decreases serum DHT levels approximately by 71% while natural DHT blockers like saw palmetto decreases such by approximately 32%.
  • Finasteride can act both on the front area and on the vertex to reduce hair fall while saw palmetto prevalently in vertex.
Comparision of Finasteride and palmetto

Finasteride for female pattern hair loss

It is believed that women with hyperandrogenism might be more likely to benefit from finasteride treatment. Finasteride 1.25 mg or 2.5 mg daily, effectively promotes scalp hair growth.

Finasteride is indicated for androgenetic alopecia in males. It stabilizes the male pattern hair loss in the males aged from 18-41 year old.

It is classified in the FDA pregnancy category. Women should not even touch this medicine in pregnancy

  • Hypersensitivity
  • Use in children or adolescents
  • Use in pregnancy
  • Lactation

There are no significant any drug interactions with clinically important which have been demonstrated with finasteride.

Active ingredient: Finasteride.

Inactive ingredients include:

  • Lactose monohydrate
  • Microcrystalline cellulose
  • Pregelatinized starch
  • Sodium starch glycolate
  • Hydroxypropyl methylcellulose
  • Hydroxypropyl cellulose
  • Titanium dioxide
  • Magnesium stearate, talc
  • Docusate sodium
  • Yellow ferric oxide and red ferric oxide

Mostly used Brands of Finasteride and price

Brand Name Company Formulation M.R.P
PROPECIA Merck Finasteride (1mg) Rs. 955.13/ 28 Tabs
FINAST Dr Reddy’s Laboratories Ltd Finasteride (5mg) Rs. 528/ 30 Tabs
FINAST Dr Reddy’s Laboratories Ltd Finasteride (1mg) Rs. 178/ 30 Tabs
FINPECIA Cipla Ltd Finasteride (1mg) Rs. 91/ 15 Tabs
FINCAR Cipla Ltd Finasteride (5mg) Rs. 147/ 10 Tabs

Medical uses of Finasteride

Finasteride is used to treat

  • Male pattern hair loss
  • Overall risk of prostate cancer
  • Alone or in combination with other drug to treat benign prostatic hypertrophy
  • Acute urinary retention

Off label uses include

  • Hirsutism (excessive facial and/or body hair growth)
  • Hormone Replacement therapy

Topical Finasteride

Oral Finasteride has been known to associate with side effects such as erectile dysfunction, low libido due to decreased levels of DHT in blood.
A topical formulation of finasteride has been formulated along with minoxidil. Minoxidil helps finasteride in better absorption due to its vasodilator property.
A clinical trial has shown that 1mg of topical finasteride controls more DHT levels in scalp than oral finasteride. Meanwhile, both topical and oral administrations decrease almost similar DHT level in serum. But study also suggests that if you get a side effect from oral finasteride, most likely you will get a side effect from topical finasteride also.

Finasteride Form DHT level change in the
scalp (decreased by)
DHT level change in
serum (decreased by)
1 mg topical finasteride Once a day (q.d) (N=6)
Twice a day (b.i.d)(each time is 0.5mg) (N=6)
Finasteride Once a day
71% 69.3–74.0%
47% 67.6–80.4%
51% 69.7–76.1%
oral pill (N=6)

Adverse effects of Finasteride

  • Post finasteride syndrome (PFS) usually occurs in patients taking finasteride. This symptom complex can be physical, sexual, as well as neurological. It is also known as 5 alpha reductase inhibitor syndrome. Few men may also complain of side effect such as ‘brain fog’ or cognitive impairment. This is the most discussed concept and still no clinical data is published.
  • Studies have shown that finasteride may be involved in altering the immune system of the body against carcinoma cells or cancer in aging men.
  • As finasteride inhibits the DHT, ratio of estrogen to androgen alters which can increase the risk of gynecomastia and male breast cancer.

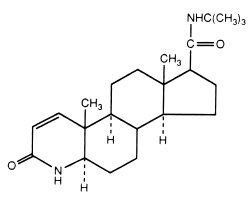
Finasteride is a synthetically derived 4-azasteroid reductase. It is a specific inhibitor of steroid type II DHT, testosterone to 5 carboxamide. Its structural formula is;

  • Generic name of finasteride for the treatment of hair loss is Propecia which was originally developed and manufactured by Merck Pharmaceuticals.
  • P. Roy Vagelos (Merck’s basic research chief) in 1975 was intrigued by the perception of decreased levels of DHT (Dihydrotestosterone) which led to the development of smaller prostates and increased hair growth. Dr. Vagelos then created a drug which could treat or mimic the condition.
  • Finasteride (1mg) was approved by FDA in 1997 under the brand name Propecia which was marketed by Merck.

Finasteride is a white crystalline powder and freely soluble in chloroform, alcoholic solvents but is insoluble in water.
Many scientific research or clinical studies have been conducted on Finasteride and various physical or chemical data have been collected which is as follows:

Clinical data Legal status Pharmacokinetic data Chemical & physical data
Trade names – Propecia, Proscar UK: POM (Prescription only) Bioavailability – 63% Formula C23H36N2O2
Pregnancy category – X (will cause birth defects) US: ℞-only Metabolism – Liver Molar mass 372.549 g/mol
Routes of administration – By mouth Biological
half-life- Adults: 6 hours
Elderly: 8 hours
ATC code – G04CB01 D11AX10 Excretion – Feces (57%) and urine (39%) as metabolites Rs. 91/ 15 Tabs
FINCAR Cipla Ltd Finasteride (5mg) Rs. 147/ 10 Tabs
ATC= Anatomical Therapeutic Chemical Classification system

Frequently Asked Questions about Finasteride

No, Finasteride is not a steroid. It is a 5 alpha reductase inhibitor which inhibits DHT (dihydrotestosterone) which causes hair fall.
No, Proscar is indicated for the treatment of benign prostatic hyperplasia (a condition in which prostate gland surrounding urethra gets bigger) in men. Recommended dosage is 5mg orally once a day.
Propecia and Proscar are the brand names while finasteride is the active ingredient in both.
5AR is 5 alpha reducatse and DHT is produced by it in two isoenzymes known as Type 1 and Type 2. Type 1 is more prominent in scalp than Type 2. Finasteride inhibits Type 2 5AR and approximately reduces 2/3rd of DHT levels.
Few studies have been reported which showed that approximately 39% of patients were improved. However, results were not as dramatic as the patients of aged 18-41 years old, but still were quite effective.
FDA approved finasteride as oral pill of 1mg to be taken once a day. A topical formulation of finasteride including minoxidil has been approved and has been found to be as effective as oral finasteride.
Finasteride pills are available which can be taken orally with or without meal.
Recommended dosage of finasteride (1mg) is one tablet once a day. With daily use for one year or longer, hair loss can be prevented and re-growth of hair can be assessed. During first months, shedding or thinning of hair may still exist but new healthy hair will grow after it. Continuation of finasteride is recommended.
If you missed a dose just skip the dose missed and use only the prescribed next dose. Do not use a double dose to make up for the missed doses.

In a clinical study, 249 men with androgenetic alopecia underwent for scalp biopsies for the determination the effect of different doses of finasteride administered daily up to 42 days, on scalp skin and serum androgens.

Finasteride doses and their effects
The most common side effects of Finasteride are: • Genitourinary:
• Erectile dysfunction
• Loss of libido
• Impotence
• Low Blood pressure or hypertension
• Depression, drowsiness
• Difficulty in breathing
• Fatigue, weakness, headache
1. Men are at risk of developing obstructive uropathy. So consult with your doctor before taking.
2. Do not use finasteride if you are allergic to finasteride or any other inactive ingredient present in finasteride tablet.
3. Finasteride can be absorbed through the skin. Women who are pregnant should avoid contact with crushed or broken tablets.
4. Avoid contact with semen from a male partner who is exposed to finasteride as it can retard fetal growth.

About Author & Bibliography

Bibliography

1. Rossi A, Cantisani C, Melis L, Iorio A, Scali E, Calvieri S. Minoxidil use in dermatology, side effects and recent patents. Recent patents on inflammation & allergy drug discovery [Internet]. 2012 [cited 6 May 2002]; 2012(22409453):130-6. Available from: https://www.ncbi.nlm.nih.gov/pubmed/22409453.

2. Mysore V. Finasteride and sexual side effects. Indian Dermatol Online J [serial online] 2012 [cited 2017 Aug 10]; 3:62-5. Available from: http://www.idoj.in/text.asp?2012/3/1/62/93496

3. Angela B Smith and Culley C Carson. Finasteride in the treatment of patients with benign prostatic hyperplasia: a review. Therapeutics and clinical risk management. 2009; 5(e.g. 2): 535–545. Available from: https://www.ncbi.nlm.nih.gov/pmc/articles/PMC2710385/

4. Izabela Urysiak-Czubatka .Assessment of the usefulness of dihydrotestosterone in the diagnostics of patients with androgenetic alopecia. Postepy Dermatol Alergol. 2014 Aug; 31(4): 207–215. [Internet]. Available from: https://www.ncbi.nlm.nih.gov/pmc/articles/PMC4171668/

5. Rossi A (2012). Comparitive effectiveness of finasteride vs Serenoa repens in male androgenetic alopecia: a two-year study. Int J Immunopathol Pharmacol. Oct-Dec; 25(4):1167-73.

6. Mysore V, Dua Kapil (2016). Hair transplantation. A text book. 4: 71-74

7. Drake L (1999). The effects of finasteride on scalp skin and serum androgen levels in men with androgenetic alopecia. J Am Acad Dermatol. Oct; 41(4):550-4.

8. Anita K. Gupta (2016). Atypical post-finasteride syndrome: A pharmacological riddle. Indian J Pharmacol. May-Jun; 48(3): 316–317.

9. B. S. Chandrashekar (2015). Topical minoxidil fortified with finasteride: An account of maintenance of hair density after replacing oral finasteride. Indian Dermatol Online J. Jan-Feb; 6(1): 17–20.

10. Maurizio Caserini (2014). A novel finasteride 0.25% topical solution for androgenetic alopecia: pharmacokinetics and effects on plasma androgen levels in healthy male volunteers. International Journal of Clinical Pharmacology and Therapeutics, (1-8).

11. http://www.aafp.org/news/health-of-the-public/20130823finasteride.html

12. https://en.wikipedia.org/wiki/Finasteride

13. https://pubchem.ncbi.nlm.nih.gov/compound/finasteride#section=Top

14. https://www.steroidal.com/anti-estrogens-pct/finasteride-proscar/

15. https://www.medicines.org.uk/emc/medicine/25803

16. https://perfecthairhealth.com/natural-dht-blockers-vs-finasteride-they-all-cause-sexual-side-effects/

17. https://www.mims.com/india/drug/info/finasteride

18. https://medlineplus.gov/druginfo/meds/a698016.html

19. http://www.rxlist.com/propecia-drug.htm

20. https://www.bernsteinmedical.com/medical-treatment/propecia-finasteride/

NOTE: This content of this post is written by the experienced dermotologist based on formal medical studies. It is reliable and scientifically verified and reviewed and edited by concerned doctors and health professionals to provide objective information on the diagnosis and treatment of diseases. If you are a doctor or health scientist and find inaccuracies, errors or omissions, please contact us at [email protected]

About Author: This post is written by Dr. Aman Dua, MBBS, MD, FISHRS having 14 year of experience in the fields of Dermatology and Hair Transplant. She is the Chief Dermatologist, Co-Founder & Managing Director At AK Clinics.

Reviewed by: This post is reviewed by Dr Kapil Dua, MBBS, MS, Dipl. American Board of Hair Restoration Surgery (ABHRS), Member, FUE Advancement Committee, ISHRS, USA to improve readability and authority of the written content.

dr-aman-dua

Dr. Aman Dua

Dr. Aman Dua, Co-Founder & Managing Director at AK Clinics, has over 25 years of clinical and teaching experience in the fields of Dermatology and Hair Transplant. A Past President of AHRS India and a Dermatologist Hair Transplant Surgeon, she brings a rare combination of surgical and aesthetic expertise to every patient she treats.

Clinically, she has practiced aesthetic dermatology as a Consultant at Dayanand Medical Hospital, Ludhiana, where she also served as Assistant Professor and Skin Specialist. Over the course of her career, she has built a strong reputation as a facial aesthetics expert and an expert injector, with a special interest in non-surgical acne scar removal. She currently practices as Chief Dermatologist across AK Clinics’ centres.

Author Posts

Previous Post
Next Post

Leave a Comment